ZyXEL12m94*41 Опубликовано 3 февраля, 2010 Жалоба Опубликовано 3 февраля, 2010 Собственно сабж.Помогите кто чем сможет!!!Хотя бы тупо ответы, что бы от них плясать, но можно еще и решения, это будет вообще круто! Я даже к вам могу подъехать и забрать их=) Цитата
0 Mr. Deeds Опубликовано 3 февраля, 2010 Жалоба Опубликовано 3 февраля, 2010 простейший пример , в скобках тангенс распиши как синус/косинус, косинус соответсвенно сократится, в скобках останется 1-синус в квадрате. в итоге ответ 4 =) Цитата
0 Гость bot Опубликовано 3 февраля, 2010 Жалоба Опубликовано 3 февраля, 2010 Топик был перенесен из форума Взаимопомощь в форум Образование Intel_agent Цитата
0 Mr. Deeds Опубликовано 3 февраля, 2010 Жалоба Опубликовано 3 февраля, 2010 это за какой класс то? такое то самому решать надо )) Цитата
0 ZyXEL12m94*41 Опубликовано 3 февраля, 2010 Автор Жалоба Опубликовано 3 февраля, 2010 Mr. Deeds это за 1ый курс ТК ВСТГУ=)Добавлено спустя 31 секунду:3.2.7 простейший пример , в скобках тангенс распиши как синус/косинус, косинус соответсвенно сократится, в скобках останется 1-синус в квадрате. в итоге ответ 4 =)Ууууууу, вот я вата, че то тупанул=) Цитата
0 ZyXEL12m94*41 Опубликовано 3 февраля, 2010 Автор Жалоба Опубликовано 3 февраля, 2010 Ну еще че нить! Какой нить еще один! Цитата
0 Innk Опубликовано 3 февраля, 2010 Жалоба Опубликовано 3 февраля, 2010 3.2.2 разлаживай по формуле (a+^2=a^2+2ab+b^2 каждую скобку = сокращается,выносится за скобки и равно 6 Цитата
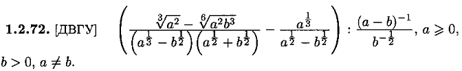
0 R@man Опубликовано 3 февраля, 2010 Жалоба Опубликовано 3 февраля, 2010 3.2.2 разлаживай по формуле (a+^2=a^2+2ab+b^2 каждую скобку = сокращается,выносится за скобки и равно 6Почему это 6 получается? Ответ: 13.9*sin^2 x+4*cos^2 x + 4*sin^2 x +9*cos^2 x=13(sin^2 x +cos^2 x)=13Тоже тангенс расписываешь. Ответ: 3 Цитата
0 ZyXEL12m94*41 Опубликовано 3 февраля, 2010 Автор Жалоба Опубликовано 3 февраля, 2010 Вот, вот, поактивней господа поактивней, проверте свои знания в математике!не столь важен ответ сколь способ его полученияInnk,R@man Спасибо! Цитата
0 ZyXEL12m94*41 Опубликовано 3 февраля, 2010 Автор Жалоба Опубликовано 3 февраля, 2010 Amidala and R@man and Innk and Mr. Deeds вообще шикарно!!! Цитата
0 nomad101 Опубликовано 3 февраля, 2010 Жалоба Опубликовано 3 февраля, 2010 это за 1ый курс ТК ВСТГУ=) Раньше, в 8 классе школы такое решали.)) Цитата
0 ZyXEL12m94*41 Опубликовано 4 февраля, 2010 Автор Жалоба Опубликовано 4 февраля, 2010 nomad101 это нам как бы для разминки мозгов дают, а т.к разминать там нечего я у вас помощи прошу Цитата
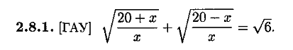
0 Einstein Опубликовано 4 февраля, 2010 Жалоба Опубликовано 4 февраля, 2010 2.8.1Ставь ограничение на х (не равен 0; подкоренные больше 0), возведи обе части в квадрат, приведи подобные члены, если надо, опять возведи в квадрат, приведи подобные и решай линейное уравнение. У меня ответ: 12.Добавлено спустя 2 минуты 50 секунд:Кстати, очень знакомые задачи. По-моему, из 3000 (или из 5000) олимпиадных задач по математике. Цитата
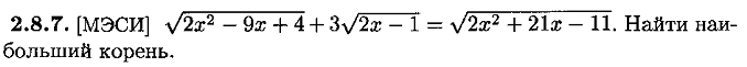
0 Neyasyt Опубликовано 4 февраля, 2010 Жалоба Опубликовано 4 февраля, 2010 2.8.7.Проверяешь те х, которые незя использоваьть-забыл как та фигня называется... но в общемполучается что х от 4 до бесконечностиПотом возводишь выражение в квадрат получится 2х^2-9x+4+6*((2x-1)(2x^2-9x+4))^0,5+9(2x-1)=21x-11после упрощений получается(2x-1)(x-4)^0,5=2x-1корни 5 и 0,5(не удвл по чему-то там, одз вроде)наибольший 5...вроде так Цитата
0 ZyXEL12m94*41 Опубликовано 4 февраля, 2010 Автор Жалоба Опубликовано 4 февраля, 2010 Einstein да, 3000 олимпиадных задач по математике Цитата
0 Morei Sky Опубликовано 4 февраля, 2010 Жалоба Опубликовано 4 февраля, 2010 За чисто символическую оплату решу все чистенько на листочке. Пиши в личку Цитата
Вопрос
ZyXEL12m94*41
Собственно сабж.
Помогите кто чем сможет!!!
Хотя бы тупо ответы, что бы от них плясать, но можно еще и решения, это будет вообще круто! Я даже к вам могу подъехать и забрать их=)
17 ответов на этот вопрос
Рекомендуемые сообщения
Присоединяйтесь к обсуждению
Вы можете написать сейчас и зарегистрироваться позже. Если у вас есть аккаунт, авторизуйтесь, чтобы опубликовать от имени своего аккаунта.