Перейти к содержанию
  • 0

Паскаль. Не знаю как решить :(


Lksen

Вопрос

Опубликовано

Дело такое: завтра мне надо сдавать работы, а я не знаю как делать эти задачи...

Если кто сможет мне исходник дать - будьте добры, дайте, а то вылететь как то...

Screenshot_%282011-12-19_at_01.48.50%29.png

Screenshot_%282011-12-19_at_01.50.00%29.png

Screenshot_%282011-12-19_at_01.50.27%29.png

Screenshot_%282011-12-19_at_01.50.59%29.png

Screenshot_%282011-12-19_at_01.51.22%29.png

Screenshot_%282011-12-19_at_01.51.41%29.png

Часть мне уже известна как решается, а вот некоторые части не могу никак...

Вот эту решил


var b,x,u,f:real;
Begin
write('Введите значение a:');
readln(a);
write('Введите значение b:');
readln(B);
write('Введите значение x:');
readln(x);
U:=((a*a)*x+exp(-x*ln(e)*cps*b*x))/((b*x-exp(-x*ln(e)*cos*b*x+1));
f:=exp(2*x*ln(e)*ln(a+x)-exp(3*x*ln(B)*ln(b-x);
writeln ('U=',U:5:3,' f=',f:5:3);
readln;
End.
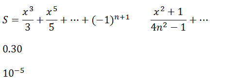
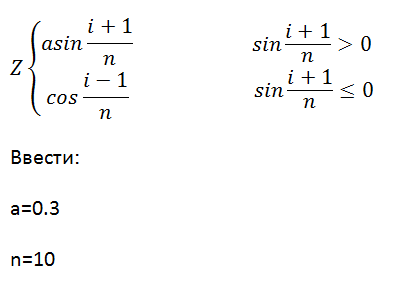
program pr1;

Здесь формулы нужно вставить


var z,a:real;
i,n:integer;
Begin
writeln('Введите а,n:');
readln(a,n);
\\Здесь формулы//
writeln('i=,.i,' z=',z:5:3);
end;
readln;
end.
program pr2;

Остальные только догадки и элементарные части.

Рекомендуемые сообщения

Присоединяйтесь к обсуждению

Вы можете написать сейчас и зарегистрироваться позже. Если у вас есть аккаунт, авторизуйтесь, чтобы опубликовать от имени своего аккаунта.

Гость
Ответить на вопрос...

×   Вставлено с форматированием.   Вставить как обычный текст

  Разрешено использовать не более 75 эмодзи.

×   Ваша ссылка была автоматически встроена.   Отображать как обычную ссылку

×   Ваш предыдущий контент был восстановлен.   Очистить редактор

×   Вы не можете вставлять изображения напрямую. Загружайте или вставляйте изображения по ссылке.

  • Последние посетители   0 пользователей онлайн

    • Ни одного зарегистрированного пользователя не просматривает данную страницу
×
×
  • Создать...